您当前所在位置:首页 > 800-900 nm

活体成像

常用名:IR-140

发射波长:800-900 nm

荧光团类型:菁类染料

其他类型:

CAS号: 53655-17-7

分子量:779.1880

分子式:C39H34Cl3N3O4S2

存  储:-20 °C 避光密封储存

性  状:绿色粉末

【英文别名】

5-chloro-2-((E)-2-((E)-3-((Z)-2-(5-chloro-3-ethylbenzo[d]thiazol-2(3H)-ylidene)ethylidene)-2-(diphenylamino)cyclopent-1-en-1-yl)vinyl)-3-ethylbenzo[d]thiazol-3-ium perchlorate

【产品介绍】

IR-140适于用作激光染料。

【参考文献】

Chen W, Cheng CA, Cosco ED, Ramakrishnan S, Lingg JGP, Bruns OT, Zink JI, Sletten EM. Shortwave Infrared Imaging with J-Aggregates Stabilized in Hollow Mesoporous Silica Nanoparticles. J Am Chem Soc. 2019 Aug 14;141(32):12475-12480. doi: 10.1021/jacs.9b05195. Epub 2019 Aug 2. PMID: 31353894; PMCID: PMC6746239.

编号

货号

规格

纯度

市场价(元)

会员价(元)

货期

II6235177

II6235177-5mg

5mg

95%

83

75

次日发货,询问客服

II6235177-10mg

10mg

95%

150

134

次日发货,询问客服

II6235177-100mg

100mg

95%

1344

1209

次日发货,询问客服

活体成像

常用名:FD dye 7

发射波长:800-900 nm

荧光团类型:菁类染料

其他类型:

CAS号:N/A

分子量:729.3030

分子式:C39H37ClN2O6S2

存  储:-20 °C 避光密封储存

性  状:棕色固体

【英文别名】

4-(2-((E)-2-((E)-2-chloro-3-((E)-2-(1-(4-sulfobutyl)benzo[cd]indol-2(1H)-ylidene)ethylidene)cyclopent-1-en-1-yl)vinyl)benzo[cd]indol-1-ium-1-yl)butane-1-sulfonate

【产品介绍】

FD dye 7 (compound 7) 是七甲川菁染料荧光染料的中间体,可合成染料 FD-1 和 FD-2。

【参考文献】

Near IR second window excitation/emission fluorescent dye and preparation method thereof. China, CN110041723 A 2019-07-23.

编号

货号

规格

纯度

市场价(元)

会员价(元)

货期

II62925019

II62925019-5mg

5mg

95%

14100

12690

次日发货,询问客服

II62925019-10mg

10mg

95%

25380

22842

次日发货,询问客服

II62925019-100mg

100mg

95%

228420

205578

次日发货,询问客服

活体成像

常用名:IR-813 perchlorate

发射波长:800-900 nm

荧光团类型:菁类染料

其他类型:

CAS号: 201024-57-9

分子量:683.6700

分子式:C40H40Cl2N2O4

存  储:-20 °C 避光密封储存

性  状:棕色固体

【英文别名】

2-((E)-2-((E)-2-chloro-3-((E)-2-(1,1,3-trimethyl-1,3-dihydro-2H-benzo[e]indol-2-ylidene)ethylidene)cyclohex-1-en-1-yl)vinyl)-1,1,3-trimethyl-1H-benzo[e]indol-3-ium perchlorate

【产品介绍】

IR 813 perchlorate 是一种近红外 (NIR) 荧光染料 (Ex=815 nm,Em=840 nm),可用于对小鼠的局部淋巴结进行可视化。

【参考文献】

Marion Hell, et al. Surface chemistry architecture of silica nanoparticles determine the efficiency of in vivo fluorescence lymph node mapping. ACS Nano. 2013 Oct 22;7(10):8645-57.

编号

货号

规格

纯度

市场价(元)

会员价(元)

货期

II6234579

II6234579-5mg

5mg

95%

0.69

0.062

次日发货,询问客服

II6234579-10mg

10mg

95%

1.24

1.12

次日发货,询问客服

II6234579-100mg

100mg

95%

11.18

10.06

次日发货,询问客服

活体成像

常用名:IR-806

发射波长:800-900 nm

荧光团类型:菁类染料

其他类型:

CAS号:N/A

分子量:735.3268

分子式:C37H44ClN2NaO6S2

存  储:-20 °C 避光密封储存

性  状:绿色粉末

【英文别名】

Sodium 4-((E)-2-((E)-2-(2-chloro-3-((E)-2-(3,3-dimethyl-1-(4-sulfonatobutyl)-3H-indol-1-ium-2-yl)vinyl)cyclopent-2-en-1-ylidene)ethylidene)-3,3-dimethylindolin-1-yl)butane-1-sulfonate

【产品介绍】

IR-806 是一种近红外花青液晶染料。IR-806 可用作分子天线合成纳米探针 (NPs)。IR-806 可用于体内成像研究。

【参考文献】

Wei Y, et al. Molecular Antenna-Sensitized Upconversion Nanoparticle for Temperature Monitored Precision Photothermal Therapy. Int J Nanomedicine. 2020 Mar 2;15:1409-1420.

编号

货号

规格

纯度

市场价(元)

会员价(元)

货期

II62925018

II62925018-5mg

5mg

95%

100

90

次日发货,询问客服

II62925018-10mg

10mg

95%

180

162

次日发货,询问客服

II62925018-100mg

100mg

95%

1620

1458

次日发货,询问客服

活体成像

常用名:ICG-amine

发射波长:800-900 nm

荧光团类型:菁类染料

其他类型:

CAS号:1686147-55-6

分子量:829.1570

分子式:C51H64N4O4S

存  储:-20 °C 避光密封储存

性  状:绿色粉末

【英文别名】

4-((E)-2-((2E,4E,6E)-7-(3-(6-((6-aminohexyl)amino)-6-oxohexyl)-1,1-dimethyl-1H-benzo[e]indol-3-ium-2-yl)hepta-2,4,6-trien-1-ylidene)-1,1-dimethyl-1,2-dihydro-3H-benzo[e]indol-3-yl)butane-1-sulfonate

【产品介绍】

ICG amine 作为一种近红外荧光探针,不需要冷凝剂就能与氨基酸残基结合。ICG 是三碳菁染料。

【参考文献】

Badaracco AG, et al. Indocyanine green modified silica shells for colon tumor marking. Appl Surf Sci. 2020;499:143885.

编号

货号

规格

纯度

市场价(元)

会员价(元)

货期

II6237556

II6237556-5mg

5mg

95%

2300

2070

次日发货,询问客服

II6237556-10mg

10mg

95%

4140

3726

次日发货,询问客服

II6237556-100mg

100mg

95%

9315

8384

次日发货,询问客服

活体成像

常用名:IR-825

发射波长:800-900 nm

荧光团类型:菁类染料

其他类型:

CAS号:1558079-49-4

分子量:904.3420

分子式:C54H48BrClN2O4

存  储:-20 °C 避光密封储存

性  状:绿色粉末

【英文别名】

3-(4-carboxybenzyl)-2-((E)-2-((E)-3-((E)-2-(3-(4-carboxybenzyl)-1,1-dimethyl-1,3-dihydro-2H-benzo[e]indol-2-ylidene)ethylidene)-2-chlorocyclohex-1-en-1-yl)vinyl)-1,1-dimethyl-1H-benzo[e]indol-3-ium bromide

【产品介绍】

IR-825是一种近红外染料 (NIR)。 IR-825被封装成纳米颗粒后。 IR-825纳米颗粒显示出pH依赖性荧光发射和出色的近红外 (NIR)辐射,以体外靶向细胞提供细胞毒性。

【参考文献】

Wang X, et al. Synergistic chemo-photothermal cancer therapy of pH-responsive polymeric nanoparticles loaded IR825 and DTX with charge-reversal property. Colloids Surf B Biointerfaces. 2022;209(Pt 2):112164.

编号

货号

规格

纯度

市场价(元)

会员价(元)

货期

II6239494

II6239494-5mg

5mg

95%

1920

1872

次日发货,询问客服

II6239494-10mg

10mg

95%

3456

3110

次日发货,询问客服

II6239494-100mg

100mg

95%

31104

27994

次日发货,询问客服

多模态探针

常用名:S-NBD

发射波长:800-900 nm

荧光团类型:其他类型探针

其他类型:

CAS号:N/A

分子量:563.7010

分子式:C38H33N3O2

存  储:-20 °C 避光密封储存

性  状:N/A

【英文别名】

(E)-2-(3-(2-(6-((4-hydroxyphenyl)(phenyl)amino)-2,3-dihydro-1H-xanthen-4-yl)vinyl)-5,5-dimethylcyclohex-2-en-1-ylidene)malononitrile.

【产品介绍】

S-NBD,它具有检测生物硫醇和促进肿瘤光热疗法的双重目的。 该探针与生物硫醇反应后,会在 838 纳米波长处发出近红外荧光,并伴有 NRFI 和 PA 信号,从而实现对生物硫醇的深层组织灵敏检测。

【参考文献】

SHI L, CHEN Z, OU J, et al. Pretheranostic agents with extraordinaryNIRF/photoacoustic imaging performanceand photothermal oncotherapy efficacy [J]. Acta Pharmaceutica Sinica B, 2024. https://doi.org/10.1016/j.apsb.2024.07.017.

编号

货号

规格

纯度

市场价(元)

会员价(元)

货期

MP62925002

MP62925002-5mg

5mg

95%

5500

4950

次日发货,询问客服

MP62925002-10mg

10mg

95%

9900

8910

次日发货,询问客服

MP62925002-100mg

100mg

95%

89100

80190

次日发货,询问客服

生物传感

常用名:WH-1

发射波长:800-900 nm

荧光团类型:菁类染料

其他类型:

CAS号:N/A

分子量:819.7693

分子式:C44H42BF2N4O5S2+

存  储:-20 °C 避光密封储存

性  状:N/A

【英文别名】

(E)-2-(2-(8-ethyl-5,5-difluoro-7,9-dimethyl-3-((4-nitrophenyl)thio)-10-phenyl-5H-5l4,6l4-dipyrrolo[1,2-c:2',1'-f][1,3,2]diazaborinin-2-yl)vinyl)-1,1-dimethyl-3-(3-sulfopropyl)-1H-benzo[e]indol-3-ium.

【产品介绍】

WH-1 是一种D-π-A 分子骨架的近红外荧光探针,探针被 H2S 激活,发射最大值位于 925 至 1205 nm之间,这归功于拉长 π 共轭体系和增强供体区电子负载能力的合作。

【参考文献】

DOU K, FENG W, FAN C, et al. Flexible Designing Strategy to Construct Activatable NIR-II Fluorescent Probes with Emission Maxima beyond 1200 nm [J]. Anal Chem, 2021, 93(8): 4006-14. DOI: 10.1021/acs.analchem.0c04990.

编号

货号

规格

纯度

市场价(元)

会员价(元)

货期

BS62925013

BS62925013-5mg

5mg

95%

6680

6012

次日发货,询问客服

BS62925013-10mg

10mg

95%

12024

10822

次日发货,询问客服

BS62925013-100mg

100mg

95%

108216

97394

次日发货,询问客服

诊疗一体化

常用名:ICG-PEG-Folate

发射波长:800-900 nm

荧光团类型:菁类染料

其他类型:

CAS号:N/A

分子量:1176.41

分子式:C68H75N10O9+

存  储:-20 °C 避光密封储存

性  状:绿色粉末

【英文别名】

2-((1E,3E,5E,7E)-7-(3-(1-(4-(((7-amino-5-oxo-5,6-dihydropyrido[3,4-b]pyrazin-3-yl)methyl)amino)phenyl)-3-carboxy-1,6,14-trioxo-10-oxa-2,7,13-triazahexadecan-16-yl)-1,1-dimethyl-1,3-dihydro-2H-benzo[e]indol-2-ylidene)hepta-1,3,5-trien-1-yl)-3-(5-carboxypentyl)-1,1-dimethyl-1H-benzo[e]indol-3-ium.

【产品介绍】

ICG-PEG-Folate是一种近红外荧光染料,可靶向叶酸受体。

【参考文献】

CHEN S., ZHU L., DU Z., et al. Polymer encapsulated clinical ICG nanoparticles for enhanced photothermal therapy and NIR fluorescence imaging in cervical cancer [J]. RSC Advances, 2021, 11(34): 20850-20858.

编号

货号

规格

纯度

市场价(元)

会员价(元)

货期

DT62925003

DT62925003-5mg

5mg

95%

710

639

次日发货,询问客服

DT62925003-10mg

10mg

95%

1278

1150

次日发货,询问客服

DT62925003-100mg

100mg

95%

11502

10352

次日发货,询问客服

诊疗一体化

常用名:ICG-PSMA

发射波长:800-900 nm

荧光团类型:菁类染料

其他类型:

CAS号:N/A

分子量:1046.29

分子式:C58H71N5O11S

存  储:-20 °C 避光密封储存

性  状:绿色粉末

【英文别名】

4-(2-((1E,3E,5E,7E)-7-(3-(6-(((S)-5-carboxy-5-(3-((R)-1,4-dicarboxybutan-2-yl)ureido)pentyl)amino)-6-oxohexyl)-1,1-dimethyl-1,3-dihydro-2H-benzo[e]indol-2-ylidene)hepta-1,3,5-trien-1-yl)-1,1-dimethyl-1H-benzo[e]indol-3-ium-3-yl)butane-1-sulfonate.

【产品介绍】

ICG-PSMA是一种近红外荧光染料,可用于前列腺癌的荧光成像诊断。

【参考文献】

CHEN S., ZHU L., DU Z., et al. Polymer encapsulated clinical ICG nanoparticles for enhanced photothermal therapy and NIR fluorescence imaging in cervical cancer [J]. RSC Advances, 2021, 11(34): 20850-20858.

编号

货号

规格

纯度

市场价(元)

会员价(元)

货期

DT62925002

DT62925002-5mg

5mg

95%

1660

1494

次日发货,询问客服

DT62925002-10mg

10mg

95%

2988

2689

次日发货,询问客服

DT62925002-100mg

100mg

95%

26890

24202

次日发货,询问客服

诊疗一体化

常用名:ICG Biotin

发射波长:800-900 nm

荧光团类型:菁类染料

其他类型:

CAS号:N/A

分子量:999.34

分子式:C57H70N6O6S2

存  储:-20 °C 避光密封储存

性  状:固体粉末

【英文别名】

4-(2-((1E,3E,5E,7E)-7-(1,1-dimethyl-3-(6-oxo-6-((2-(5-((3aR,4R,6aS)-2-oxohexahydro-1H-thieno[3,4-d]imidazol-4-yl)pentanamido)ethyl)amino)hexyl)-1,3-dihydro-2H-benzo[e]indol-2-ylidene)hepta-1,3,5-trien-1-yl)-1,1-dimethyl-1H-benzo[e]indol-3-ium-3-yl)butane-1-sulfonateMolecular Weight: 999.3430.

【产品介绍】

ICG Biotin是一种近红外荧光染料,可靶向生物素受体。

【参考文献】

KOZMA E., KELE P. Bioorthogonal Reactions in Bioimaging [J]. Top. Curr. Chem., 2024, 382(1): 7.

编号

货号

规格

纯度

市场价(元)

会员价(元)

货期

DT62925001

DT62925001-5mg

5mg

95%

1560

1404

次日发货,询问客服

DT62925001-10mg

10mg

95%

2808

2527

次日发货,询问客服

DT62925001-100mg

100mg

95%

25272

22745

次日发货,询问客服

点击化学

常用名:IR-808-DBCO

发射波长:800-900 nm

荧光团类型:菁类染料

其他类型:

CAS号:N/A

分子量:1200.99

分子式: C78H80ClN6O4+

存  储:-20 °C 避光密封储存

性  状:绿色粉末

【英文别名】

A name could not be generated for this structure.

【产品介绍】

IR-808-DBCO是一种近红外荧光染料,可通过点击反应用于细胞成像。

【参考文献】

ISLAM M. R., NGUY C., PANDIT S., et al. Design and Synthesis of Core–Shell Microgels with One-Step Clickable Crosslinked Cores and Ultralow Crosslinked Shells [J]. Macromol. Chem. Phys., 2020, 221(19): 2000156.

编号

货号

规格

纯度

市场价(元)

会员价(元)

货期

CL62925002

CL62925002-5mg

5mg

95%

6000

5400

次日发货,询问客服

CL62925002-10mg

10mg

95%

10800

9720

次日发货,询问客服

CL62925002-100mg

100mg

95%

97200

87480

次日发货,询问客服

生物偶联

常用名:IR820 NHS ester

发射波长:800-900 nm

荧光团类型:菁类染料

其他类型:

CAS号:N/A

分子量:994.25

分子式:C53H59N3O10S3

存  储:-20 °C 避光密封储存

性  状:绿色粉末

【英文别名】

4-(2-((E)-2-((E)-3-((E)-2-(1,1-dimethyl-3-(4-sulfobutyl)-1,3-dihydro-2H-benzo[e]indol-2-ylidene)ethylidene)-2-((3-((2,5-dioxopyrrolidin-1-yl)oxy)-3-oxopropyl)thio)cyclohex-1-en-1-yl)vinyl)-1,1-dimethyl-1H-benzo[e]indol-3-ium-3-yl)butane-1-sulfonate.

【产品介绍】

IR820 NHS ester是一种具有胺反应性的近红外荧光染料。

【参考文献】

PRAJAPATI S. I., MARTINEZ C. O., BAHADUR A. N., et al. Near-Infrared Imaging of Injured Tissue in Living Subjects Using IR-820 [J]. Molecular Imaging, 2009, 8(1): 7290.2009.00005.

编号

货号

规格

纯度

市场价(元)

会员价(元)

货期

BC62925006

BC62925006-5mg

5mg

95%

3850

3465

次日发货,询问客服

BC62925006-10mg

10mg

95%

6930

6237

次日发货,询问客服

BC62925006-100mg

100mg

95%

62370

56133

次日发货,询问客服

生物偶联

常用名:ICG Thiol

发射波长:800-900 nm

荧光团类型:菁类染料

其他类型:

CAS号:2387670-76-8

分子量:790.05

分子式: C47H55N3O4S2

存  储:-20 °C 避光密封储存

性  状:绿色粉末

【英文别名】

4-(2-((1E,3E,5E,7E)-7-(3-(6-((2-mercaptoethyl)amino)-6-oxohexyl)-1,1-dimethyl-1,3-dihydro-2H-benzo[e]indol-2-ylidene)hepta-1,3,5-trien-1-yl)-1,1-dimethyl-1H-benzo[e]indol-3-ium-3-yl)butane-1-sulfonate.

【产品介绍】

ICG Thiol是一种近红外荧光染料,能参与形成硫键或其他化学偶联反应。

【参考文献】

LIU F.-H., CONG Y., QI G.-B., et al. Near-Infrared Laser-Driven in Situ Self-Assembly as a General Strategy for Deep Tumor Therapy [J]. Nano Lett., 2018, 18(10): 6577-6584.

编号

货号

规格

纯度

市场价(元)

会员价(元)

货期

BC6230768

BC6230768-5mg

5mg

95%

2100

1890

次日发货,询问客服

BC6230768-10mg

10mg

95%

3780

3402

次日发货,询问客服

BC6230768-100mg

100mg

95%

34020

30618

次日发货,询问客服

生物偶联

常用名:ICG-amine

发射波长:800-900 nm

荧光团类型:菁类染料

其他类型:

CAS号:1686147-55-6

分子量:829.16

分子式:C51H64N4O4S

存  储:-20 °C 避光密封储存

性  状:绿色粉末

【英文别名】

4-(2-((1E,3E,5E,7E)-7-(3-(6-((6-aminohexyl)amino)-6-oxohexyl)-1,1-dimethyl-1,3-dihydro-2H-benzo[e]indol-2-ylidene)hepta-1,3,5-trien-1-yl)-1,1-dimethyl-1H-benzo[e]indol-3-ium-3-yl)butane-1-sulfonate.

【产品介绍】

ICG-amine是一种近红外荧光染料,可以和含羧基的标记对象反应。

【参考文献】

GARCIA BADARACCO A., WARD E., BARBACK C., et al. Indocyanine green modified silica shells for colon tumor marking [J]. Appl. Surf. Sci., 2020, 499: 143885.

编号

货号

规格

纯度

市场价(元)

会员价(元)

货期

BC6237556

BC6237556-5mg

5mg

95%

3100

2790

次日发货,询问客服

BC6237556-10mg

10mg

95%

5580

5022

次日发货,询问客服

BC6237556-100mg

100mg

95%

50220

45198

次日发货,询问客服

生物偶联

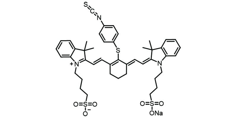
常用名:NIR-797-isothiocyanate

发射波长:800-900 nm

荧光团类型:菁类染料

其他类型:

CAS号:152111-91-6

分子量:880.14

分子式:C45H50N3NaO6S4

存  储:-20 °C 避光密封储存

性  状:绿色粉末

【英文别名】

Sodium 4-((E)-2-((E)-2-(3-((E)-2-(3,3-dimethyl-1-(4-sulfonatobutyl)-3H-indol-1-ium-2-yl)vinyl)-2-((4-isothiocyanatophenyl)thio)cyclohex-2-en-1-ylidene)ethylidene)-3,3-dimethylindolin-1-yl)butane-1-sulfonate.

【产品介绍】

NIR-797-isothiocyanate是一种近红外荧光染料,用于标记蛋白质。

【参考文献】

SULTANA M., ROWNOK M. H., SABRIN M., et al. A review on experimental chemically modified activated carbon to enhance dye and heavy metals adsorption [J]. Cleaner Engineering and Technology, 2022, 6: 100382.

编号

货号

规格

纯度

市场价(元)

会员价(元)

货期

BC6231916

BC6231916-5mg

5mg

95%

3800

3420

次日发货,询问客服

BC6231916-10mg

10mg

95%

6840

6156

次日发货,询问客服

BC6231916-100mg

100mg

95%

61560

30780

次日发货,询问客服

生物偶联

常用名:Cy7.5 maleimide

发射波长:800-900 nm

荧光团类型:菁类染料

其他类型:

CAS号:2270866-73-2

分子量:807.47

分子式:C51H55ClN4O3

存  储:-20 °C 避光密封储存

性  状:绿色粉末

【英文别名】

2-((E)-2-((E)-3-((E)-2-(3-(6-((2-(2,5-dioxo-2,5-dihydro-1H-pyrrol-1-yl)ethyl)amino)-6-oxohexyl)-1,1-dimethyl-1,3-dihydro-2H-benzo[e]indol-2-ylidene)ethylidene)cyclohex-1-en-1-yl)vinyl)-1,1,3-trimethyl-1H-benzo[e]indol-3-ium chloride.

【产品介绍】

Cy7.5 maleimide是一种近红外荧光剂 ,可用于蛋白,抗体以及小分子化合物的标记。

【参考文献】

MEN Y., PENG S., YANG P., et al. Biodegradable Zwitterionic Nanogels with Long Circulation for Antitumor Drug Delivery [J]. ACS Appl. Mater. Interfaces, 2018, 10(28): 23509-23521.

编号

货号

规格

纯度

市场价(元)

会员价(元)

货期

BC6236732

BC6236732-5mg

5mg

95%

3500

3150

次日发货,询问客服

BC6236732-10mg

10mg

95%

6300

5670

次日发货,询问客服

BC6236732-100mg

100mg

95%

56700

51030

次日发货,询问客服

生物偶联

常用名:ICG-OSu

发射波长:800-900 nm

荧光团类型:菁类染料

其他类型:

CAS号:1622335-40-3

分子量:828.03

分子式:C49H53N3O7S

存  储:-20 °C 避光密封储存

性  状:墨绿色粉末

【英文别名】

4-(2-((1E,3E,5E,7E)-7-(3-(6-((2,5-dioxopyrrolidin-1-yl)oxy)-6-oxohexyl)-1,1-dimethyl-1,3-dihydro-2H-benzo[e]indol-2-ylidene)hepta-1,3,5-trien-1-yl)-1,1-dimethyl-1H-benzo[e]indol-3-ium-3-yl)butane-1-sulfonate.

【产品介绍】

ICG-OSu (ICG NHS ester) 是一种具有胺反应性的近红外荧光剂 ICG 的衍生物 ,被广泛用于体内成像探针的设计。

【参考文献】

YU C., XIAO E., XU P., et al. Novel albumin-binding photothermal agent ICG-IBA-RGD for targeted fluorescent imaging and photothermal therapy of cancer [J]. RSC Advances, 2021, 11(13): 7226-7230.

编号

货号

规格

纯度

市场价(元)

会员价(元)

货期

BC6235403

BC6235403-5 mg

5mg

95%

3900

3510

次日发货,询问客服

BC6235403-10 mg

10mg

95%

7020

6318

次日发货,询问客服

BC6235403-100 mg

100mg

95%

63180

56862

次日发货,询问客服